BELEDİYE BAŞKANLIĞINDAN
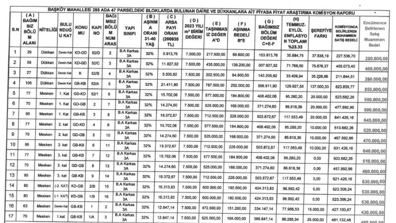
Mülkiyeti Belediyemize ait İlçemiz Başköy Mahallesi Cumhuriyet Caddesi üzerinde 285 ada 47 parsel tapu kayıtlarında kayıtlı bulunan Kargir beton bina (MESKEN VE DÜKKAN) ve arsası Belediye Meclisinin 07.09.2023 tarih ve 5(2019) 8-1-1-32 sayılı kararı ve Belediye Encümeninin 15.11.2023 tarih ve 42 sayılı kararı ile 285 ada 47 parsel üzerinde bulunan Kargir beton bina (13 ADET MESKEN ve 4 ADET DÜKKAN) yerleri ve arsası KDV Hariç 29 Kasım 2023 Çarşamba günü saat 10.00’da belediye encümen huzurunda ihale edilecektir.
Açık Teklif sureti ile yapılacak ihaleye katılacak gerçek veya tüzel kişilerin;
- İhale tarihinden 15 gün önce alınmış sabıka kaydı.
- Başkası adına vekil olarak ihaleye katılanların, noterden onaylı vekâletname örneğini ve tüzel kişiliği temsilen katılanların ise noterden onaylı imza sirküleri örneğini;
- Tebligat adresinin, iş veya ikamet adresine ilişkin belgelerdeki adresten farklı olması durumunda, tebligat adreslerini gösterir belge;
- Teklifte bulunulacak kişi veya kişilerin şartnamede gösterilen %3 geçici teminatın yatırdıklarını gösterir
- İhaleye katılacak kişi ve kişilerin yerleşim yeri belgesi.
- İhaleye katılabilmek için, kimlik fotokopisi veya o kişiyi ispatlayan belge
- Belediyemizden alınmış onaylı borcu yoktur yazısı.
- 18 yaşını doldurmuş olmak.
İhaleye katılmak isteyenlerin, İhale ile ilgili istenilen belgeleri ihale saatinden önce yani (saat 09:30 kadar), Belediyemiz Yazı İşleri Müdürlüğüne evraklarını teslim etmeleri gerekmektedir. Saat 09:30 ‘dan sonra yapılan müracaatlar işleme alınmayacaktır.
İhale ile ilgili her türlü bilgi ve belge; Belediyemiz Yazı İşleri Müdürlüğünden mesai saatleri içerisinde ücretsiz olarak temin edilebilmektedir. İlgililere ilanen duyurulur. 15.11.2023



BAŞYAYLA BELEDİYESİ BELEDİYE LOJMAN MESKEN VE DÜKKAN SATIŞLARI

